You are here: Experiment Guide > Imaging Modes > Applications Modules > Dark Lift

Dark Lift

Introduction

Shining a laser on a p-n junction or any device based upon semiconductor doping causes generation of electron-hole pairs. These electron-hole pairs significantly affect the minority carrier concentration, hence the Fermi energy level and the width of the depletion region. See Figure 1 and Figure 2.

Figure 1: Band structure change with light

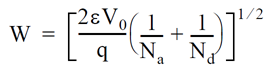
The width of the depletion region is

where e is the permittivity, V0 the contact potential, q the electric charge and Na and Nd the concentration of acceptors (p-type) and donors (n-type). The open circuit potential, Voc, is

where gop is the optical yield of electron-hole pairs and gth is the thermal yield of electron-hole pairs. The voltage when light is applied is

Figure 2: p-n junction width as a function of optical carrier concentration

Next:

 

www.bruker.com Bruker, Inc.
www.brukerafmprobes.com 112 Robin Hill Rd.
http://nanoscaleworld.bruker-axs.com Santa Barbara, CA 93117
   
  Customer Support: (800) 873-9750
  Copyright 2010, 2011. All Rights Reserved.